Totul Pentru Tine Ep 199





Totul Pentru Tine Episodul 199 200 Online Subtitrat Seriale Indiene Subtitrate

Totul Pentru Tine Episodul 199 200 Online Subtitrat Seriale Indiene Subtitrate

Totul Pentru Tine Ep 200

Totul Pentru Tine Ep 200

Adini Sen Koyu Nume Pus De Tine Hd Ep 2 Youtube

Adini Sen Koyu Nume Pus De Tine Hd Ep 2 Youtube

Totul Pentru Tine Ep 200

Totul Pentru Tine Ep 200

Viaţa Cu Autism Ep 199 Am Tot Dispreţul Pentru Terapeuţii Care Judecă Părinţii Totul Despre Mame

Viaţa Cu Autism Ep 199 Am Tot Dispreţul Pentru Terapeuţii Care Judecă Părinţii Totul Despre Mame

Viaţa Cu Autism Ep 199 Am Tot Dispreţul Pentru Terapeuţii Care Judecă Părinţii Totul Despre Mame

Viaţa Cu Autism Ep 199 Am Tot Dispreţul Pentru Terapeuţii Care Judecă Părinţii Totul Despre Mame

Viaţa Cu Autism Ep 199 Am Tot Dispreţul Pentru Terapeuţii Care Judecă Părinţii Totul Despre Mame

2

2

Manchester Development Plan 1951 Report Of The Survey By Martin Dodge Issuu

Manchester Development Plan 1951 Report Of The Survey By Martin Dodge Issuu

Viaţa Cu Autism Ep 199 Am Tot Dispreţul Pentru Terapeuţii Care Judecă Părinţii Totul Despre Mame

Viaţa Cu Autism Ep 199 Am Tot Dispreţul Pentru Terapeuţii Care Judecă Părinţii Totul Despre Mame

Pro Tv Lansează O Nouă Emisiune Show Ul Falsez Pentru Tine Incepe Sambătă De La 23 00 Stirileprotv Ro

Pro Tv Lansează O Nouă Emisiune Show Ul Falsez Pentru Tine Incepe Sambătă De La 23 00 Stirileprotv Ro

Exerciţiile Pe Care Marcel Pavel Le Face După Ce S A Vindecat De Covid 19 Youtube

Exerciţiile Pe Care Marcel Pavel Le Face După Ce S A Vindecat De Covid 19 Youtube

Adini Sen Koyu Nume Pus De Tine Hd Ep 2 Youtube

Adini Sen Koyu Nume Pus De Tine Hd Ep 2 Youtube

Repeat Adini Sen Koy Nume Pus De Tine Hd Ep 95 By Luca Tivadar You2repeat

Repeat Adini Sen Koy Nume Pus De Tine Hd Ep 95 By Luca Tivadar You2repeat

Pro Tv Lansează O Nouă Emisiune Show Ul Falsez Pentru Tine Incepe Sambătă De La 23 00 Stirileprotv Ro

Pro Tv Lansează O Nouă Emisiune Show Ul Falsez Pentru Tine Incepe Sambătă De La 23 00 Stirileprotv Ro

Https Www Cabq Gov Dfa Documents Investor Documents 2012 City Financial Report Pdf

Https Www Cabq Gov Dfa Documents Investor Documents 2012 City Financial Report Pdf

N Historia Antigua

N Historia Antigua

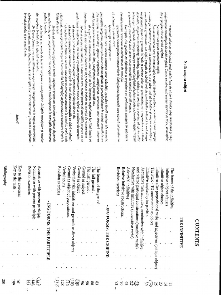
Accuracy And Fluency Alexandra Cornilescu Si Ioan Iclezan Dimitriu Pdf

Accuracy And Fluency Alexandra Cornilescu Si Ioan Iclezan Dimitriu Pdf

2

2

Http Chatsworthlibraryarchives Org 1918 07 11 Pdf

Http Chatsworthlibraryarchives Org 1918 07 11 Pdf

Nelu Tătaru Despre Revenirea La Starea De Urgență In Acest Moment Evaluăm Prima Lună Dificilă Septembrie Stirileprotv Ro

Nelu Tătaru Despre Revenirea La Starea De Urgență In Acest Moment Evaluăm Prima Lună Dificilă Septembrie Stirileprotv Ro

Source : pinterest.com